목차
Elementary Linear Algebra [Anton]을 참고하여 작성하였습니다.
행렬의 역을 이용하여 연립일차방정식 풀기
- A가 n x n 이고 가역인 행렬이면 모든 n x 1 행렬 b에 대해서 연립일차방정식 Ax = b 는 유일해 x = A^(-1)b를 갖습니다.
- 이것은 당연히 A의 역행렬을 양변에 곱해주게되면 나오는 결과입니다.
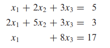
- [예제] A^(-1)을 이용하여 연립일차방정식 풀기

- 위 연립일차방정식을 Ax=b형태로 표현하면 다음과 같습니다.
- 여기서 이제 A에 역행렬 알고리즘을 적용해보면 A가 가역임을 알 수 있음과 동시에 A의 역행렬을 구하게 됩니다.
- 따라서 이 연립방정식의 해는 다음과 같습니다. (x1=1, x2=-1, x3=2)
계수 행렬을 공통으로 갖는 연립일차방정식 한번에 풀기
- 종종 다음과 같이 같은 정방 계수 행렬 A를 갖는 연립일차방정식들을 볼 수 있습니다.

- 이럴 경우 하나의 역행렬을 구한다음에 k번의 행렬 곱셈을 적용해야합니다.
- 하지만 이것을 분할행렬을 통해 계산하면 효율적으로 연산이 가능합니다.

- 이 행렬을 가우스-요르단 소거법을 이용하여 기약 행사다리꼴이 되도록 만들면 됩니다.
- [예제] 두 연립일차방정식을 한번에 풀기
- 풀이 과정


- (a) x1=1, x2=0, x3=1 / (b) = x1=2, x2=1, x3=-1
- 풀이 과정
- 이는 연립일차방정식이 1개일때도 동일하게 적용됩니다.(즉, A의 역행렬을 구하고 b에 곱해줄 필요가 없습니다.)
- 하지만 1개일 경우는 오히려 계산이 더 귀찮아질 수 있기때문에 A의 역행렬만을 구한다음에 따로 곱해주는 것이 더 계산적으로 효율적일 수 있습니다. 이는 선택사항입니다.
행렬 A가 가역이 아닐때 풀이과정
- A가 가역이면 모든 m x 1 행렬 b에 대해 연립일차방정식 Ax=b는 유일해, x= A^(-1)b를 갖습니다.
- 하지만 A가 가역이 아니라면 행렬 b는 Ax=b가 일치(consistent)하기 위한 특별한 조건을 만족해야합니다. 예시를 통해 이해하도록 하겠습니다.
- [예제] 소거법에 의한 일치성(Consistency) 결정하기
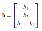
- 다음 연립방정식이 일치하기(consistent) 위해서는 b1, b2, b3가 어떤 조건을 만족하여야 하는가?
- 가우스-요르단 소거법은 A가 가역이 아니더라도 적용할 수 있습니다.
- 여기서 마지막 행이 0으로만 이루어져 있기때문에 A는 가역이 아닙니다. 따라서 이 연립방정식이 consistent하기 위해서는 b3-b2-b1이 0이 되어야 합니다.
- 결론은 Ax=b가 일치하기 위한 필요충분조건은 행렬 b가 다음과 같아야합니다.
- 다음 연립방정식이 일치하기(consistent) 위해서는 b1, b2, b3가 어떤 조건을 만족하여야 하는가?
- [예제] 소거법에 의한 일치성 판단

- 이 계수행렬은 가역이기때문에 첨가행렬의 기약 행사다리꼴은 다음과 같은 결과가 나오게 됩니다.
- 따라서 이 문제에서는 b1, b2, b3에 대해서 어떠한 제한 조건이 없고 모든 값 b1, b2, b3에 대해서 유일해를 갖습니다.
'Math > 선형대수' 카테고리의 다른 글
| 8. 여인수 전개에 의한 행렬식(determinant) (0) | 2023.11.28 |
|---|---|
| 7. 대각 행렬, 삼각 행렬, 대칭 행렬 (1) | 2023.11.27 |
| 5. 기본행렬(Elementary Matrix) (0) | 2023.11.27 |
| 4. 행렬의 대수적 성질 / 역행렬 (1) | 2023.11.27 |
| 3. 행렬과 행렬 연산 (4) | 2023.11.27 |







