목차
Elementary Linear Algebra [Anton]을 참고하여 작성하였습니다.
기본행렬(Elementary Matrix)
- 단위행렬에 기본 행연산을 한 번만 수행하여 얻은 행렬을 기본행렬(elementary matrix) E 이라고 합니다.
- 기본 행연산
- 행 i에 c ≠ 0 를 곱하기
- 행 i와 행 j 바꾸기
- 행 i에 c를 곱하여 행 j에 더하기
- 역연산 (기본 행연산의 반대 과정)
- 행 i에 1/c를 곱하기
- 행 i와 행 j 바꾸기
- 행 i에 -c를 곱하여 행 j에 더하기
- 기본행렬 예시
- 기본 행연산
- 모든 기본행렬은 가역(invertible)이고 그의 역행렬도 가역입니다.
- 증명
- E를 기본행렬이라고 하면 E는 단위행렬 I에 기본 행연산을 하여 얻어집니다. E0를 단위행렬에 기본 행연산의 역연산을 하여 얻은 행렬이라고 할 경우 E0E = I 이고 EE0 = I 이므로 기본행렬 E0는 E의 역행렬입니다.
- 증명
- A가 n x n 행렬이면, 다음 명제들은 동등합니다. 즉 모두 참이거나 모두 거짓입니다.
- A는 가역입니다.
- Ax = 0 은 자명해(tivial solution)만을 갖습니다.
- = 0 이라는 것을 주의해야합니다. (homogeneous)
- A의 기약 행사다리꼴은 I(단위행렬)입니다.
- A는 기본행렬들의 곱으로 나타낼 수 있습니다.
- 증명
- [1->2]
- A가 가역이면 A^(-1)Ax = A^(-1)0 이 되고, Ix = 0 -> x=0 이 됩니다. 따라서 Ax = 0은 자명해만을 가지게 됩니다.
- [2->3]
- Ax = 0 은 자명해만을 가진다는 것에서 증명을 시작하도록 하겠습니다.
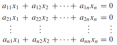
- 다음 연립방정식이 자명해만을 가진다고 하면은 x1= 0 , x2= 0, ... , xn= 0 처럼 표현됩니다.
- 따라서 첨가행렬을 기본 행연산을 거듭하면 첨가행렬에 대한 기약 행사다리꼴이 얻어지게 됩니다. 여기서 마지막 열을 지우게 되면 A의 기약 행사다리꼴은 단위행렬 I가 됨을 알 수 있습니다.
- 다음 연립방정식이 자명해만을 가진다고 하면은 x1= 0 , x2= 0, ... , xn= 0 처럼 표현됩니다.
- Ax = 0 은 자명해만을 가진다는 것에서 증명을 시작하도록 하겠습니다.
- [3->4]
- A의 기약 행사다리꼴이 I라고 하면 A에 기본 행연산을 계속하여 기약 행사다리꼴을 얻을 수 있습니다.
- 따라서 적절한 역연산(=기본 행연산)을 해주게 되면 I가 되게 됩니다.

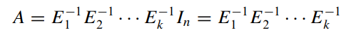
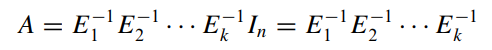
- 기본행렬들은 가역이기 때문에 다음과 같이 표현할 수 있습니다.

- 그러므로 A는 기본행렬들의 곱으로 표현될 수 있습니다.
- [4->1]
- A가 기본행렬들의 곱으로 표시된다면, A는 가역행렬들의 곱이고, 따라서 가역입니다.
- [1->2]
- 증명
- [예제] 다음 동차(Homogeneous) 연립일차방정식이 비자명해를 갖는지 알아보기

- (a)
- (a)의 계수행렬은 기약 행사다리꼴로 표현이 가능하기때문에 가역입니다. 따라서 자명해(trivial solution)를 갖습니다.

- (b)
- (b)의 계수행렬은 기약 행사다리꼴로 표현이 불가능하기 때문에 비가역입니다. 따라서 비자명해(nontrivial solution)를 갖습니다.

기본행렬 성질을 이용하여 역행렬 구하기
- A가 nxn 행렬이라면서 가역일 경우는 기본행렬 성질을 이용하여 역행렬을 구할 수 있습니다.
- 가역행렬 A의 역을 구하기 위해서는 A가 I가 되기까지의 일련의 행연산들을 찾고, 그 과정을 I에 적용하면 A^(-1)이 됩니다.
- A를 I로 만드는 과정이 A^(-1)이 곱해지는 것이기때문에 I에 그 과정을 동일하게 적용하면 A^(-1)이 구해지게 됩니다.
- 가역행렬 A의 역을 구하기 위해서는 A가 I가 되기까지의 일련의 행연산들을 찾고, 그 과정을 I에 적용하면 A^(-1)이 됩니다.
- A가 가역일 경우 풀 수 있는 방법인데 그렇다면 가역인지는 어떻게 알 수 있을까요?
- 이는 A는 가역이다 / A의 기약 행사다리꼴은 I이다. 이 두 명제가 같기 때문에 만약에 A의 기약 행사다리꼴이 I가 아니게 된다면 이는 A가 가역이 아닌 것입니다.
- 예를 들어 역행렬 알고리즘(Inversion Algorithm)을 수행하는 단계에서 분할행렬의 왼쪽에서 0으로만 이루어진 행이 나타나면 계산을 멈추고 A가 가역이 아니라고 결론을 짓습니다.
- [예제] 행연산을 이용한 A^(-1) 구하기
- [예제] 가역이 아님을 보이기


- 왼쪽에 0으로만 이루어진 행이 있기 때문에 A는 가역이 아닙니다.
'Math > 선형대수' 카테고리의 다른 글
| 7. 대각 행렬, 삼각 행렬, 대칭 행렬 (1) | 2023.11.27 |
|---|---|
| 6. 연립일차방정식과 역행렬에 관한 여러 가지 결과 (1) | 2023.11.27 |
| 4. 행렬의 대수적 성질 / 역행렬 (1) | 2023.11.27 |
| 3. 행렬과 행렬 연산 (4) | 2023.11.27 |
| 2. 가우스 소거법 (1) | 2023.11.26 |





