목차
Elementary Linear Algebra [Anton]을 참고하여 작성하였습니다.
행렬식(determinant)이란? 식 ad-bc를
- 지금까지는 가우스-요르단 소거법 등을 이용하는 역행렬 알고리즘을 이용해 역행렬을 구하는 계산과정을 공부하였습니다.
- 이 과정을 이제 행렬식을 이용해서 가역행렬의 역행렬에 대한 구체적인 공식을 만들 것입니다.
- 행렬식 : 정사각행렬을 스칼라에 대응시키는 함수(즉, 행렬마다 각각 갖고 있는 특정한 값이라고 생각하면 됩니다.)
- 먼저 2 x 2 행렬에 대해 먼저 살펴보도록 하겠습니다.

- 이 행렬이 가역행렬이기 위한 필요충분조건은 ad-bc ≠ 0이고, 2x2 행렬 A의 행렬식(determinant)은 ad-bc입니다.
- 행렬식은 다음과 같이 표기할 수 있습니다.
- A의 역행렬은 행렬식을 이용하여 다음과 같이 표기할 수 있습니다.
- 참고 : 역행렬 알고리즘을 통해 계산한 과정
- 그렇다면 2x2에서는 ad-bc가 행렬식인데, 3x3, 4x4, ... , nxn 에서는 행렬식이 어떻게 정의될까요? 또한, 2x2 에서 ad-bc는 어떻게 나오게 된 것일까요?
소행렬식과 여인수
- 먼저 고차 행렬의 행렬식을 정의하기 위해서는 소행렬식과 여인수 개념을 알아야 합니다.
- A가 정방행렬일 때
- 원소
의 소행렬식(minor of entry
)은
로 나타냅니다.
는 행렬 A의 i번째 행과 j번째 열을 제거하여 만든 부분행렬의 행렬식으로 정의됩니다. - 원소
의 여인수(cofactor)는
로 나타냅니다.
는
입니다.
- 부호는 바둑 배열을 생각하면 쉽습니다.

- 원소
- [예제] 소행렬식(Minors)과 여인수(Cofactors) 구하기

- 원소 a11의 소행렬식
- 원소 a11의 여인수
- 원소 a32의 소행렬식
- 원소 a32의 여인수
- 2x2 행렬의 여인수 전개
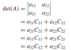
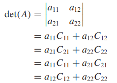
일반 행렬식의 정의
- n x n 행렬 A의 어떤 행 또는 열을 선택하는가와 상관없이, 선택된 행 또는 열에 있는 각 원소와 대응하는 여인수의 곱을 모두 더하여 얻은 수는 항상 같습니다. 이 결과는 다음의 정의를 만듭니다. (즉, 이 결과 자체가 행렬식 값이 됩니다.)
- A가 n x n 행렬일 때, A의 임의의 한 행 또는 열에 있는 각 원소와 대응하는 여인수의 곱을 모두 합하여 얻은 수를 A의 행렬식(determinant of A)이라고 합니다. 이때 합 자체는 A의 여인수 전개(cofactor expansion)라고 불립니다.

- 2 x 2 의 det(A)


- 따라서 ad-bc가 2x2의 행렬식이 되는 것입니다.
- [예제] 행렬 A의 행렬식을 구하기

- 제 1행에 의한 여인수 전개로 행렬식 구하기
- (꼭 제 1행으로 할 필요는 없습니다. 행렬 A의 어떤 행이나 어떤 열을 기준으로 잡고 계산해도 동일한 결과가 나옵니다.)

- 제 1열에 의한 여인수 전개로 행렬식 구하기
- 위 예제를 통해 행렬식을 구할 때 어떤 행이나 어떤 열을 기준으로 잡고 계산해도 동일한 결과가 나오는 것을 확인했습니다. 이를 통해 행렬식 계산을 조금이라도 간편하게 하기 위해서는 최대한 0이 많은 행이나 열을 선택하는 것이 좋은 선택이라는 것을 알 수 있습니다.
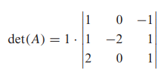
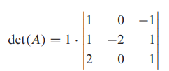
- [예제] 똑똑한 행 또는 열 선택

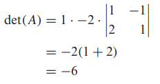
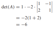
- 계산을 최대한 간단하게 하기 위해서 최대한 0이 많은 행이나 열을 찾아야 합니다. 행렬 A는 2열이 0이 3개로 가장 많다는 것을 확인할 수 있습니다. 이를 통해 행렬식을 구해보면 다음과 같습니다.
- 이제 여기서 다시 한번 3x3에 대해 행렬식을 계산해야 합니다. 마찬가지로 0이 제일 많은 2열을 선택하면 계산을 빠르게 할 수 있습니다.
- [예제] 하삼각행렬의 행렬식 구하기
- 하삼각행렬은 1행이 1개 빼고 모두 0이기 때문에 그대로 값을 입력하면 됩니다. 마찬가지로 다음 행렬식에 대해서도 적용해 보면 다음과 같이 연산이 됩니다.
- 즉, A가 n x n 삼각행렬(상삼각, 하삼각, 또는 대각)이면, det(A)는 행렬의 주대각선 상의 원소들의 곱입니다.
- 하삼각행렬은 1행이 1개 빼고 모두 0이기 때문에 그대로 값을 입력하면 됩니다. 마찬가지로 다음 행렬식에 대해서도 적용해 보면 다음과 같이 연산이 됩니다.
'Math > 선형대수' 카테고리의 다른 글
| 10. 행렬식의 성질 / 크라머의 규칙 (1) | 2023.11.28 |
|---|---|
| 9. 행축소에 의한 행렬식 계산 (1) | 2023.11.28 |
| 7. 대각 행렬, 삼각 행렬, 대칭 행렬 (1) | 2023.11.27 |
| 6. 연립일차방정식과 역행렬에 관한 여러 가지 결과 (1) | 2023.11.27 |
| 5. 기본행렬(Elementary Matrix) (0) | 2023.11.27 |











