목차
행렬 연산의 성질들
- 행렬 연산의 성질들
- (Commutative law for matrix addition : 덧셈에 대한 교환법칙)
- (Associative law for matrix addition : 덧셈에 대한 결합법칙)
- (Associative law for matrix multiplication : 곱셈에 대한 결합법칙)
- (Left distributive law : 왼쪽 분배법칙)
- (Right distributive law : 오른쪽 분배법칙)
행렬 곱셈의 성질
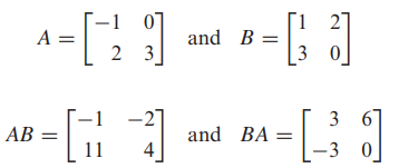
- 행렬 곱셈은 순서가 중요합니다. 실수에서는 항상 ab=ba지만 행렬에서는 AB와 BA가 같지 않은 경우가 3가지가 있습니다. (즉, 교환법칙이 성립하지 않음)
- AB는 정의되나 BA는 정의되지 않을 경우 (예를 들어, A는 2x3 B는 3x4)
- AB와 BA는 정의되나 크기가 서로 다름 (예를 들어, A는 2x3 B는 3x2)
- AB와 BA가 모두 정의되고 크기도 같지만 두 행렬이 서로 다른 경우(아래 예시 참고)
- [3번 예시]
- [3번 예시]
영행렬
- 다음과 같이 모든 원소가 0인 행렬을 영행렬이라고 합니다.
- 영행렬을 언급한 이유는 다음 이유 때문입니다.
- 실수에서는 교환 법칙이 성립하기때문에 다음 두 가지 성질이 성립합니다.
- ab=ac이고, a≠0이면 b=c입니다. [소거법칙(cancellation law)]
- ab=0이면 a=0이거나 b=0입니다.
- 그러나 행렬에서는 곱셈에서의 교환법칙이 성립하지 않기 때문에 위의 법칙이 성립하지 않습니다.
- [1번이 성립하지 않는 예시]
- A, B, C가 다음과 같을때, B와 C는 다르지만 AB와 AC는 같게 됩니다.


- 따라서 행렬에서는 AB=AC라고 해서 B와 C가 반드시 같은 것이 아닙니다.
- [2번이 성립하지 않는 예시]
- A와 B가 다음과 같을때 AB=0이 됩니다.

- 따라서 행렬 AB=0이라고 해서 A나 B둘중 하나 이상이 반드시 영행렬이 아닙니다.
- [1번이 성립하지 않는 예시]
- 실수에서는 교환 법칙이 성립하기때문에 다음 두 가지 성질이 성립합니다.
단위행렬(unit matrix)
- 주대각선 상의 원소들은 1이고 나머지 원소들은 모두 0이면 이러한 행렬을 단위행렬(unit matrix) 또는 항등행렬(identity matrix)라고 합니다. (단위행렬은 I 로 표시합니다.)
- 단위행렬은 실수에서 1이 곱셈에서 a x 1 = 1 x a = a의 역할을 하듯이, 행렬의 곱셈에서 같은 역할을 합니다.
역행렬(Inverse)
- 실수에서 0이 아닌 모든 실수는 a x a^(-1) = a^(-1) x a =1의 성질을 만족하는 역수 a^(-1)을 갖습니다. 이처럼 행렬에서 이와 유사한 결과를 얻기 위해 다음을 정의합니다.
- 정의 : 만약 A가 정방행렬이고 AB=BA=I를 만족하는 같은 크기의 B가 존재한다면 A는 가역(invertible) 또는 nonsingular라고 하고 B를 A의 역행렬(inverse)이라고 합니다. 만약 그와 같은 행렬 B가 존재하지 않으면 A는 특이행렬(singular)이라고 합니다.
- 역행렬 예시를 살펴보겠습니다. 다음예시를 보면 A와 B는 가역이고 서로가 서로에게 역행렬이 되는 것을 볼 수 있습니다.
- 그럼 이번에는 특이행렬(singular)의 예시를 보겠습니다.

- 위 행렬 A가 특이행렬임을 보이기 위해서 AB=BA=I를 만족하는 어떠한 3 x 3 행렬 B도 존재하지 않음을 보여야 합니다. 이를 위해서 c1, c2, 0를 A의 열벡터로 놓겠습니다. 그러면 임의의 3x3 행렬 B에 대해서 다음과 같이 표현됩니다. 0으로 된 열이 있다는 것은 BA≠ I 임을 의미하므로 A는 가역이 아닙니다.

- 2 x 2 행렬 A가 다음과 같다고 할 때, A가 가역(invertible) 일 필요충분조건은 다음과 같습니다.

- 행렬 A가 가역일 필요충분조건은 ad-bc ≠ 0입니다. 이때의 역행렬은 다음과 같습니다.
역행렬의 성질
- 행렬의 역행렬이 존재한다면, 그 역행렬은 오직 하나뿐입니다.
- B와 C가 모두 A의 역행렬이면 B=C입니다.
- 증명
- 두 행렬 B와 C가 모두 A의 역행렬이라고 가정해 보면 다음과 같습니다.
- AB = BA = I
- AC = CA = I
- 이때, B = BI = B(AC) = (BA)C = IC = C 가 되어 B와 C가 같다는 것을 알 수 있습니다.
- 즉, 역행렬이 존재한다면 그것은 유일한 것입니다.
- 두 행렬 B와 C가 모두 A의 역행렬이라고 가정해 보면 다음과 같습니다.
- 행렬 A와 B가 같은 크기의 가역 행렬이면 AB는 가역이고 (AB)^(-1) = B^(-1)A^(-1)입니다.

- 증명
- (AB)(B^(-1)A^(-1)) = (B^(-1)A^(-1))(AB) = I임을 보이면 됩니다.

- 마찬가지로 세 개 또는 더 많은 행렬의 곱에 대해서도 적용됩니다.
- (ABC)^(-1) = C^(-1)B^(-1)A^(-1)
- 행렬의 거듭제곱
- 정의
- 만약 A가 정방행렬이면 A의 음이 아닌 정수에 대한 거듭제곱은 다음과 같이 정의합니다.
- 그리고 A가 가역이면 A의 음의 정수에 대한 거듭제곱도 다음과 같이 정의합니다.
- 실수와 마찬가지로 정의되므로 음이 아닌 지수에 대한 법칙들도 성립합니다.
- 만약 A가 정방행렬이면 A의 음이 아닌 정수에 대한 거듭제곱은 다음과 같이 정의합니다.
- 성질
- 행렬 A가 가역이고 n이 음이 아닌 정수라고 할 경우 다음 성질을 얻습니다.
- 행렬 A가 가역이고 n이 음이 아닌 정수라고 할 경우 다음 성질을 얻습니다.
- 정의
'Math > 선형대수' 카테고리의 다른 글
| 6. 연립일차방정식과 역행렬에 관한 여러 가지 결과 (1) | 2023.11.27 |
|---|---|
| 5. 기본행렬(Elementary Matrix) (0) | 2023.11.27 |
| 3. 행렬과 행렬 연산 (4) | 2023.11.27 |
| 2. 가우스 소거법 (1) | 2023.11.26 |
| 1. 연립일차방정식의 소개 (0) | 2023.11.26 |













