목차
Elementary Linear Algebra [Anton]을 참고하여 작성하였습니다.
행축소에 의한 행렬식 계산
- 이 방법은 여인수 전개보다 계산량을 줄일 수 있기 때문에 크기가 큰 행렬에 더욱 효율적입니다.
- 주어진 행렬을 행사다리꼴(row echelon form)로 줄여 행렬식을 계산하는 방법입니다.
- 정방행렬에 대한 기본 행연산이 행렬식 값에 미치는 영향
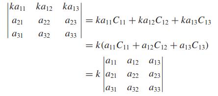
- B가 A의 한 행 또는 열에 스칼라 k를 곱해서 얻은 행렬이라면, det(B) = kdet(A)입니다.
- B가 A의 두 행 또는 열을 교환해서 얻은 행렬이라면, det(B) = -det(A)입니다.
- B가 A의 한 행(또는 열)의 상수 배를 다른 행(또는 열)에 더해서 얻은 행렬이라면 det(B)=det(A)입니다.
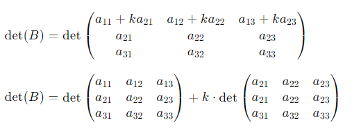
- 정식 증명 대신 3x3 행렬의 행렬식을 예로 살펴보도록 하겠습니다.
- 3행을 기준으로 여인수전개를 해보게 되면은 부호가 반대임을 확인할 수 있습니다.

- 여기서 두 번째 항은 두 번째 행과 첫 번째 행이 동일하기 때문에 행렬식이 0이 됩니다.
- 따라서 det(B) = det(A)가 됩니다.
- 기본행렬에 대한 행렬식 (E : n x n 기본행렬)
- E가 I의 한 행에 영이 아닌 스칼라 k를 곱해서 얻은 기본행렬이라면, det(E) = k
- E가 I의 두 행을 교환하여 얻은 기본행렬이라면, det(E) = -1
- E가 I의 한 행의 상수배를 다른 행에 더하여 얻은 기본 행렬이라면 det(E) = 1
- [예제] 기본행렬의 행렬식
- A가 두 비례하는 행 또는 열을 갖는 정방행렬이라면, det(A) = 0입니다.
- 한 행에 적당한 상수를 곱하여 남은 행에 더함으로써 0으로만 이루어진 행을 만들 수가 있기 때문입니다. 여인수 전개를 생각해 보면 0으로만 존재하는 행이 있다면 det가 0이 됩니다.
- 비례하는 예시
- 아래 예시는 모두 det(A)=0입니다.

- 행축소에 의한 행렬식 계산
- 기본 행연산을 이용하여 상삼각행렬(=행사다리꼴)로 축소하게 되면은 행렬식을 손쉽게 구할 수 있게 됩니다.
- [예제] 행축소를 이용한 행렬식 계산

- 계산 과정
- [예제] 열연산을 이용한 행렬식 계산
- 기본 행연산을 이용하여 A를 행사다리꼴로 줄여서 계산할 수 도 있지만, 제 1열에 -3배를 제4열에 더하는 작업을 하면 A를 하삼각행렬로 바꿔 빠르게 연산할 수 있습니다. (det(A) = det(A^T) 이기 때문에 이렇게 연산해도 동일하게 적용됩니다.)

- [예제] 행연산(Row Operations)과 여인수 전개(Cofactor Expansion)
- 행연산만을 이용해서 행사다리꼴(또는 상삼각행렬)로 만들어서 계산해도 되지만, 행열이 커지게 되면 이것또한 다소 번거로울 수 있습니다. 이럴 경우는 행연산과 여인수 전개를 혼합하여 사용하는 것이 행렬식을 계산하는데 효율적일 수 있습니다.
'Math > 선형대수' 카테고리의 다른 글
| 11. 2차원, 3차원, n차원 공간에서의 벡터 (1) | 2023.11.28 |
|---|---|
| 10. 행렬식의 성질 / 크라머의 규칙 (1) | 2023.11.28 |
| 8. 여인수 전개에 의한 행렬식(determinant) (0) | 2023.11.28 |
| 7. 대각 행렬, 삼각 행렬, 대칭 행렬 (1) | 2023.11.27 |
| 6. 연립일차방정식과 역행렬에 관한 여러 가지 결과 (1) | 2023.11.27 |



