목차
등비수열(Geometric sequence)
- 기하수열이라고도 합니다.
- 등비수열은 각 항이 초항(first term)과 일정한 비(=공비(common ratio))를 가지는 수열을 말합니다.
- 초항이 a이고 공비가 r인 등비수열은 다음과 같습니다.
등비급수(Geometric series)
- 기하급수라고도 합니다.
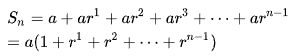
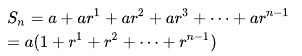
- 등비급수는 a1부터 an까지 더한 합입니다.

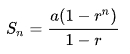
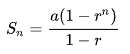
- 위 식은 아래와 같이 단순화시킬 수 있습니다.
(단, r이 1이 아닐경우만)
- 증명은 다음과 같습니다.

- 양변에 r 곱하기

- 위 두식을 빼면 다음과 같습니다.

(단, r이 1이 아닐 경우만)
- 만약 n이 무한일 경우는 무한등비급수라고 합니다.
- 이때 |r|<1 이어야지만 등비급수를 구할 수 있습니다.
- |r| < 1 경우,
은 0이 됩니다. - 따라서, |r| < 1 일 때 무한등비급수는 다음과 같습니다.
